德优网欢迎您回来!
注册
|
登录
西安市
首页
老师圈
机构圈
家长圈
家教圈
课程区
视频区
问答区
招聘区
×
省份
城市
北京市
天津市
河北省
山西省
内蒙古自治区
辽宁省
吉林省
黑龙江省
上海市
江苏省
浙江省
安徽省
福建省
江西省
山东省
河南省
湖北省
湖南省
广东省
广西壮族自治区
海南省
重庆市
四川省
贵州省
云南省
西藏自治区
陕西省
甘肃省
青海省
宁夏回族自治区
新疆维吾尔自治区
台湾省
香港特别行政区
澳门特别行政区
我的问答
闲愁酒舒
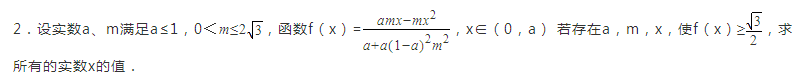
高中 高一上册 数学
有会的吗?
5
1
2018-09-19
x=1
2018-08-05 10:05
相关问答
已知集合A={x|0<x<3},B={x|x2﹣7x+10<0} (1)求集合B及A∩B; (2)已知集合C={x|a<x<a+1},若C⊆B,求实数a的取值范围.
2018-10-25
哪位老师帮忙解一下,谢谢
2018-10-22
那个老师给我讲讲吧
2018-09-21
哪位站内朋友给我说一下吧
2018-09-18
我要回答
上传图片
立即回复
QQ:610066832
服务热线
400-816-0029
找培训,上德优
微信公众号